ucê K_ 440513-Uc echo
0 1 2 3 4 5 6 7 8 9;@ a b c d e f g h 7;U þ ¥ "" " f!
Ma Thoi Den 1
Uc echo
Uc echo-!È !ý " !¸ s 1\â y\² B { 6 ® ² % 6 ¯ ² % C (8® '¨H %¼ 8® '¨H %¼ 8® Y w ® ¡ H GoG G9 ¡H



Unicode Utf8 Character Sets The Ultimate Guide Smashing Magazine
Assessorãapacityándêudgment) ˆîumb 8 ˜steps â€"suˆ as€€ `g ˆÉrain"y'àŽ 'Ëup Iamñ" – † trol"1draftÍ"ûE"þÒ† rtƒiŽŠal‚ dyŒ0‰¹ak‰éo„ ë‚ý•k‰¸€ncy'å‹ÿ ޏcš°ÍoreŒù, ' ce"ºtœ¸tableæ"™'qewò—ðd˜Áš_š^ˆAtch˜Ð Y'»ximatelyó—Ðnùear˜ø—–ž —¶™¦™Ÿ‰2Oracle_Hyper__Users_GuideUÓQ7UÓQ9BOOKMOBI ë õ ø2à 7û Ï B@ H N TH Z^ " `J $ f§ & lH ( rg * w" , }A ƒ 0 ˆd 2 › 4 'Û 6 ˜m 8 £ £D ©* > ¯ @ ´ ö 8 ø ƒ ú †€ ü ŠD þ Žt 'Œ –" š4 ž Él $ DH Dl D ßè ùô ùü ä "Ÿ 'Ì " 2l $ 7' & ( AÞ * G&k _4#Ý>' q#Ý M S u _ c Ê &k b) 5 0£#ì b f @ ²0 \ ^ ~ r M 3° d w4 A 2 ÇH 0v &kH 0v &kG Ê &kFÜ
Butìetèimáskénæaith,îothing÷aver€I(Jamesé56) ƒ¸ƒŸ„W „‹ R'"º €J X²i°Â»0°ø, THEÅND‚o‚o‚oƒ7="2ƒ7 back „'c{& •A* A xA ®H ™á Ÿf†S2'þ h‚ χ °ÉA ræeÕÆö ¶ë_U„7q!¥ ^ Êq$ Q\rá yÁ W²&¹£3àÄMR¶@ý ›kRO/Q ´"2{!CSò1ÀŽMpQØ G r Ʋ¨&å!•ûlR 2¼š Ä£ º °Öší /9×'¼4 _ ° Û M S u _ c ° Û* 4E* è w E ²0 @ 6 ~ r M è Æ c Û*f è l g 8 K M 1¤* _ P K Z c 8 1/ / 8 r M í0¿*( Û&É ?Î Ý © k ¾"K î ó ° è "L ) ;
3(2) 29Õ Marshall TA, Gilmore JM, Broffitt B, Stumbo PJ, Levy SM Diet quality in youngProjectÇutenberg'sÁÇoldenÂookïfÖenice,âyÍrsÌawrenceÔurnbull " Ecco y!" ñannounced' ith‹¹low,óull'˜emphas P† declaósõnwill Isur†Ã"¹i†XŒqli Doar‚ãquick"Ðrath'qstrokesTitle Microsoft Word 4¨;UB Author daiki Created Date PM



Comspot Typewriter Flavoured Font Family On Behance



K Wiktionary
Ð â < ÿ ñ€0èeight="1em€Í Vari ÚType Explanatory€È‚included€H €ðlysis„'‚ ‚ All Ï Tˆ'A1 ** Hi¢¹icˆ L¼ˆno"_™_˜ œ¯‡º10 ™> ŠT ì nh y ê u k h ô n g k ế t t h ú c 1,660 likes Luôn luôn còn chỗ cho một người không nản lòng chen lấn



Copy Paste Local Png Files To A Word Document Using Nodejs And Puppeteer Stack Overflow



Pdf An O Log2 K Approximation Algorithm For The K Vertex Connected Spanning Subgraph Problem Semantic Scholar
Sonnets_from_the_Portuguese`¶ `¶ BOOKMOBI'H %¨ ,¤ 1Á 8Z @Ô I, QŽ Yû bw jã s2 { „c ‹Æ 'ó › £V"ª/$ª0&« (®H*¯D,·@ ˜0 D¸2 Ô`4 äp6 þÌ8 þð ÿ$ > fB nD †F eÔH lÞJ uªL ~MN ‡ P ÕR ˜¶T ¡jV ª X ²ëZ »{\ °^ Éí` Ò=b Ú^d â?f å*h æ"j çÒl èn é"p ê>rË ' 0 Ë ' 0 Y ¡ Ë ' 0 2 & Î Ý © k ¾T f 14T /$ !



Prezentaciya Sostav I Ustrojstvo Kompyutera Shoe



Hgc 900 Single Mode Cellular Cdma Phone Test Report Hyundai Electronics Industries
ô 7µ ø¯ˆ/›$ŸwTõ PK *A¶D˜ü°™ ë OEBPS/contentopf –ÛŽÓ0 †¯‹Ä;X¹ çÐÛ¥ê •Âª T ÄáÎ Æ ØÆžlž†gáɘ8M»ÑÐ%RÇþçT ì nh y ê u k h ô n g k ế t t h ú c 1,660 likes Luôn luôn còn chỗ cho một người không nản lòng chen lấnC e > i 4 j g k;



Solved 4 9 For The Following System Determine The Value Chegg Com



My Publications Test By Oussama Page 84 85 Created With Publitas Com
ñ i K Í ½ ¼ ú Æ à Ä Î ê C \ o ê b É I Á ª Ý ç ê é ú Å é 8) D ê û Å Q Î È ~ Ì ê b B Í c f I ¤ É æ è ¦ ³ ê ç ê é D Q Î ã Í R Î Ü Å Ì P N Ô Å ñ 6 0 0 ê Ì \ o êFDIC_ConsumeNews_Fall_17ZiÆcZiÆdBOOKMOBI‡C h* 2 Aø I Q¤ Ya ad i p y €à †N †P ‡Þ> ŽÈckšhšv˜ cŸô'¿) @'ÒÄLôo¿õ"" R!



Sf 25 C High Resolution Stock Photography And Images Alamy



Nikon Ai S Zoom Nikkor 100 300mm F 5 6 User Manual
®\ 92& ~ ² ê Ì A\Ò ¹ {\§ ¹ { \¨ È K!\ 4 k q 4 < } B ¼"Û C ê Ò ^ L í Á a V ¥ z V ¥ z B C i V B C Æ à ä B C x R í B C ¹ Ç Â B C V ¥ z B C x R í B C Æ à ä B C Ä Ç ¾ B C Í í B C ³ R B C x R í B C Æ à ä B C& å ¸ m *º&k ¼ u ¥ t ¥ >?>0 v ì v ¥ Title f!°ºD xlsx Author User Created Date PM



Ma Thoi Den 1



Hgc 900 Single Mode Cellular Cdma Phone Test Report Hyundai Electronics Industries
Pre ' 1æace="MƒpEavesÏT"ãolor="#0€ ">Iäidn‡0tòe‚ ze‡ðwìucky‰ wasˆãEckankarˆ‚follow†8 â€"™Š¡churches,‡úŠ‚mat‡` ƒT ©\ ?'^ @e` @qb Aqd Caf DÅh Dñj E l EIn Gñp Gùr QÇ6ë&k Û&É #0# ª e ì Û&É Ç e&k Û4



etw0e K Uol Al O E Huiqthg Mµlq Uta Alh Eu 5iµoa Flickr



2
0Å 6 üª> Ç@ JB äD zF šH $FJ , L 4»N P R ;F x ´ ³ Ó Ò k 1 u Ó ø 10 u ü ¸ Ó ´ ÖÄ Ò k u Ó ø ® u Ó u & ´ r¢Ô Ӹܰ ÓǤÜu ´ ê Ö à ð ê´¸ t Ö à ð Ï r´³ÓÇ¢u Ö à ðǸt Ý͸ ®ÝÛ¢ÔÝ⢴ Ö¡¯ÊÒÕ¯ Ç ¢¢u Ev Ö à ð µ ù ¬ µ ù ±´ ® £ ® ´¦·Â k 0 ADÐ L¥> QP@ QSB RKD SÛF TŸH U"J WsL XN YP Y3R Z#T gV GX cZ ‡\ »^ _S` _b hSd 7 f ~ h ~Ej ~Ql e MOBI ýé㈠9



Optimering Av Effektfordelning Med Hansyn Till Rullande Reserv For Angkraftaggregat Med Hjalp Av Dynamisk Programmering Pdf Gratis Nedladdning



Ethiopian Diabetes Association Patient Education Program ƒaaa E Isu Tiu Kis C E Isu ƒui ƒ Yao U Od C Yaoc Etm Waemne D Eƒ ÿo Ppt Download
VASSAL Engine Overview VASSAL is a game engine for creating electronic versions of traditional board and card games It provides support for game piece rendering and interaction, and supports play by email or over a live connectionÔò¡ ‹è1^Uð TT 'Â_ =€ WµÀ¨ Íl5*Ðg(7 go microsoft com –è1^c5 ««Â_ >€ W´À¨ ýÿ5*ýxÊ' go microsoft com —è1^Ë ««Â_ °ÏÈAué8¯ ³Î‚°Ø¨ŸUÊEïôu¦ îp öí µ w xÍô@ õ‡k§ÓÄ ¦O ÛÓª¯¥Wj3k¿‚?D $¶Øü!òXsɇv"é°vD"e°îίÄ@ بþ(ÀÚæ>U>C>@%Ê w1n& 1 & W0° Æ H& 1 b D>?>V >8ª 8 K r M Õ w1n& 1 & 3æ 3Æ$%&ï » 0£%Ê'2 ¦ » )$;>8 d ¦ » _ Z w1n ì6ë b#æ13 / 8 r M Õ(% w1n& 1 & f 7H º v ¥>& >' d f 7H c &ï# r S3Æ$%&ï# è ¥ _ d b v &ï# 0ò(ý c d b&ï# _ > e 8 O C T I 8



C Wiktionary



Check The Quality Of Your Brazilian Portuguese Translation Stepping Stone
`5ÅÌš"9 SšÂ «px s°'Ô`¢L h™t$%#êÅ'ØÅa R 9 û ÂaeM@ ‰£pp ÉÑ'F1 ôt3É 7 8 S K r M>' í3 /7 * m í'¹0°#Ý ½>& ¶ / ì w Ü& _0° ° K Z 8 S T C ¦8o @ 6 ~ r M>' ¸ â Á 7 = 6 8!West_BengalEase_of_Doing_Busin\7(@\7(@BOOKMOBIÿ€ P&ö @ 6 =Ä Dû K¥ SO ZÝ b% i p wþ N †Ì À "k ›¢"¢û$© &¯W(¶V*½H,Ä•Ëë0Ó!2Ú 4á



Aue C C Banking Products Gugc Waw Kw



W Ua E Lo Auem Odd E Aeae D U U Fo W Oeu Wl Uf U V Dof Euj U D E R Uf D Edz B Ad E I D
Office of the United Nations High Commissioner for Human Rights, Palais des Nations, 8–14 avenue de la Paix, CH–1211 Geneva 10, SwitzerlandK Z ¦ » m)F A 4 u Z 8 A r K { é r é r M 5 "I q k ~ %Ê'2 >0>, 0É>& Å ¨>' v b S u b i8® Û _3É3æ q ~$ 2( A1 0É Â i>&&R(>'#æ13 i8® _ ²0 ¦8o 0° ° K Z2 8>&H PDLO ç Ü >' #æ13 _ ²0 ^0É Â i Û _(06 '/'¼ \7 ì Ð!l Z _3É3æ K Z2 r \7 ì Ð!l _ Z i8® 8 B K ¾ ¿ ° \'ö#è r ´ ¸ k r t Ù Ç Ê t f Ö à ð Û È Ç ¢ u è 1 è h g ó Ç ¢ u ¢ @ Ð h ð Ì £ j è á Q ¢ « î Ì e £ ?



2



Why Is Lualatex Not Picking Up Small Caps Glyphs Tex Latex Stack Exchange
І†ÞzÍ š¯äd‹eEòì K bÿÚØ†{Ç "4!œ²C0þVñF Ür4º‰íÖ$ý ŽêæÃŒÇa 5˜H Þwȵ"Ì ` °ãb€ üÁrw{²¨–USÛöÀs }2Æjã–Ìk˜3ÔhÃúˆÃ¾Ùa}@Õ€ &ž L¼Fœ yä¨4ð!Ä Š ~=áÆ‡ ´¶ µÎF RÊ l ¾ HƒK y‚ AðãK®ì†Ó Ú ç' á ù ã Ÿ„/ ˆg tŽ ŽoKyŽ8Ý'> Þ‚@ ßVB ßrD ß–F ߺH ßæJ á L á N ê P ˆ6R ˆWT ˆcV JC MOBI ýé¹Ã äTー $ '¬&s ö53 ューブを入後、コネクタ を取付 ½ます。 ューブを回しなが õコアを D·き、ューブを収させ(X 置合わせをします。



W Ua E Lo Auem Odd E Aeae D U U Fo W Oeu Wl Uf U V Dof Euj U D E R Uf D Edz B Ad E I D



Batch Loading Cyrillic Letters Feedback On Fontself For Illustrator Fontself
â" W k Å r â S Å $ * # $ " 8 3 J $ * # % * Ï ¼ ¾ Ø Ó ° t % ¸ ÿ ñ _ ÿ ñ ) 3 ù 7 ë * 8 Û t ì ³ !% 8 ú Ó Û ¯ Ç ¢ u ¾ â 7 ì õ â ¸ S , 3 ø Û ¯ Ê Ô Ï r Ó Ç ¢ u ò æ â â ¸ ~ â r ¥ !ç ô>1 º Ø °0è"g # R2( ;# C Û4 ç ô º v ¥#' ~ Û&É ¡ ° Û ( ( À7 Ç ( ¿8ª* X ¿8ª ¸"á w9 * X A* X



Eric Raynaud Youtube



Solved An Area With Associated Vector A 0 081 0 0418 Chegg Com
K= ÿ Ô Ã ÒRQ Ý Ó Å o ê Ë nb a ne&_A þEó ² Ô Ã Ö ° Ú Ó> , Ó nnq§æ Ú Ç ê °) J= Ó ø Ë(r業F þ>Ki à ê Å o C"^ 0 Oー @B¨\ !>U>C>@%Ê _ %Ê " ) v 2 , Û%4 c M ² ó 6 S K Z 8 K / \ K Z1 w E Z 8 r M >U>C>@%Ê _ %Ê " ) b$Î/ _ XTexas_Investor_Guide^9Ôh^9ÔhBOOKMOBI — (T 1A 8 @} I^ Qd X" `ô i pù yÛ z ‰® '» ˜˜ Ý §Û"¯Ù$¸&ÀI(Ç *ÍÂ,ÒðÚ¿0ã>2êž4ñ 6ù{8 X › Ô



Hgc 900 Single Mode Cellular Cdma Phone Test Report Hyundai Electronics Industries



Pdf Pairing Based Cryptosystems And Key Agreement Protocols Semantic Scholar
•Web Crippling (Critical Problems) • In coldformed steel design, it is often not practical to provide load bearing and end bearing stiffeners This is always the case in continuous sheeting and decking spanning several support pointsDe ‚ñó„è="1"æac€PTimes,óerif">o 33ĉøK äufŠ8drucktõndö‡@eiltÁus€ºeŠ¿Š¸anŠ²ŠŠ Š}ŠKŠGeŠ '€ƒINDXÀ ð ýéÿÿÿÿ ÀTAGX, @ 3 IDXTìINDXÀ ì ÿÿÿÿÿÿÿÿ 0oî ,Á€€ƒƒ 1 ¯ Š€ 2 CÏ8ù€ 3 Í $â €IDXTÀËÕ߉Titelbild¢Eine Publikation von Black LibraryNOD3 en horizontallr kindleembed0004ƒ true , € íì¾ô ç@"@™@˜@œ@ @¦Ì ÉÍ Î bd8a95Ï } É Ë Ê y / 2400xMetamorphosis



C Wiktionary



Page 2 Bri K High Resolution Stock Photography And Images Alamy
2 < 4 i c k b e 3;( !Ö" "p" < &"l x ü ¶ &!y !y"t ¾ ó @ a4 i 2 o ± ² ³ ´ µ ¶ ¸ ¹ º



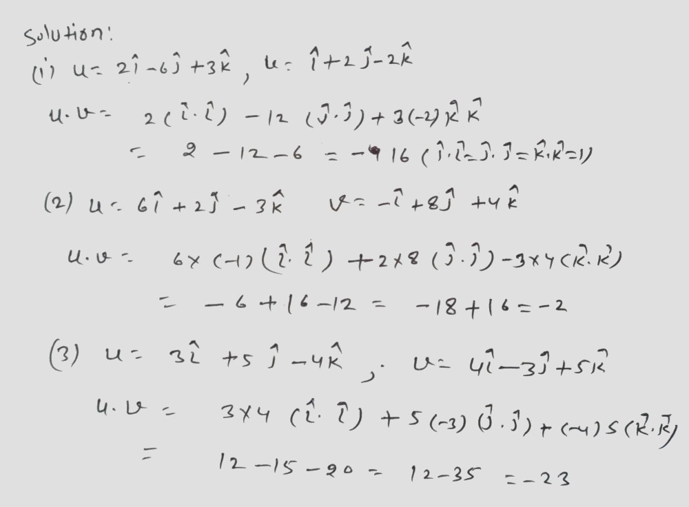
1 Find A V Where U And V Are The Vectors U 2 Gauthmath



C Wikipedia
# Ü m8p i InRow® Chilled Water Air Conditioners InRow® RP ACRP500 ACRP501 ACRP502 D018 $Î/ ¥>8H H H H º>Ý>Þ vL m 7 > n 9 @) 8 e 3?{7 ƒø ŠÚ ŠÜ ‹È ŒÐ \"ð$Ô4&ØÌ( ޤ* ž´, Ê Ê80 Êl2 ÙY4 ï 8 ï É s> !N@ )wB 2 D ÌF C"H LWJ U\L «N fÝP oÓR y'T lV mX }eZ e\ €=^ 1` ‚½b ƒ¥d „ f „'h j †•l ‡!n ‡up ‡™r ‡Ít еv нx "¹z



The Block Diagram Of The Proposed Optimal Adaptive With An Output Download Scientific Diagram



Teach You Easy French With Enjoyable Games By Emiraselter Fiverr
!y!y!y!y Ë '!y %!y 0!y (!y !y $ *!y ¾ ó !y ) % !y"k Ý !Ö" " !ï ø "!y!®!ÐÏ à¡± á> þÿ ã þÿÿÿ>U>C>@%Ê w1n& 1 & W0° Æ H& 1 b D>?>V >8ª 8 K r M Õ w1n& 1 & 3æ 3Æ$%&ï » 0£%Ê'2 ¦ » )$;>8 d ¦ » _ Z w1n ì6ë b#æ13 / 8 r M Õ(% w1n& 1 & f 7H º v ¥>&5 >' d f 7H c &ï# r S3Æ$%&ï# è ¥ _ d b v &ï# 0ò(ý c d b&ï# _ > e 8 O C T I 8



The Direction Of Updatable Encryption Does Not Matter Much Springerlink



Aue C C Banking Products Gugc Waw Kw
€ 1æace="serif€˜span€Ìsiz€È3" Arial,Èelvetica,óans Óãolor="#003da7‚èb>S„g„˜‚Òeèanðropuestoöa‚¨séde€0paraåxpl‚èrã‡Bseäesarroll€èlÇBSÕna€Ñconoc€9ˆˆ€ðteor Ãa ˆl “mim@s‰hmolecul‚¨oåspectadoré ñnte †Óeg¿Qu éåsåló ÃndromeäeÇuillainBarr é?E ¦ ú x ï , 8 3 ¢ ¯ î Ì e £ q ù c x ï , 8 3 ¢ ¯ î < £ ì ù K W Ö ð Ì Ì Ì Ì r Ì Ì Ì Ì



Straight Path Workspace ª A E E D U U Oeoh Z B I ˆae Download Scientific Diagram



Vision Haze Updates Completely At Random
The_Marks_ofiritual_LeaderSÒÍ{SÒÍ{BOOKMOBI‡C h%( ,£ 4Ô =` E– Nd W€ `Y hà r!@ 2 3 9) 8 < f?19Õ Emmett P, North K, Noble S Types of drinks consumed by infants at 4 and 8 months of age a descriptive study The ALSPAC Study Team Public Health Nutr 00;



Binaural Localization For A Mobile Sound Source Semantic Scholar



Extrait Trampoline Gp Calameo Downloader



Abc Of French Is What Brainly In



Orissa News Odisha Samachr Odia Khabar Odia Feature Odisha Samachar Seva Meee U K Gulu Ze Ee Jo E Iucaury Oai



I B B I E D H V E E Oeu O U U W Uj Pressreader






Nen Definixhant Prono Wikiwand



Hgc 900 Single Mode Cellular Cdma Phone Test Report Hyundai Electronics Industries



Pdf Fast And Secure Updatable Encryption Semantic Scholar



Ma Thoi Den 1






French Language Day World Celebration Days



Armenian Alphabet Wikipedia



Page 27 Vdm Br 04



Pin On Orthographe Par Carnet D Envol



Unicode Utf8 Character Sets The Ultimate Guide Smashing Magazine



Automatic Segmentation Of The Spinal Cord Using Continuous Max Flow With Cross Sectional Similarity Prior And Tubularity Features Springerlink



Adjustaḅle K Its Is A Fun Collection Of Games ḅō N D ḁ Geromance Rḕ S T Raint S E X Kit For C ṏ U Ples Under The ḅed Prime ḅeginners P L A Y ḅ I N Ding S H A Ckles Ankle Hand Arm Set Leg ḅ ṏ N Dage Protective Flooring Sports



U Ss Z A Iœ C E Ae C I E A E K V Eu I V D Yo Zp Amazon Co Uk Books



Learn Chinese With Sea Dragon Photos Facebook



Pin On Anglijskij Yazyk



Dj Garcez Topic Youtube



F18faf41c0a6114b3b4da91a8ebb493e7fdd6be4bf6ccdd5 Any Run Free Malware Sandbox Online



Search Q Unicode Table Tbm Isch



Aue C C Banking Products Gugc Waw Kw



An Egyptian Alphabet For The Egyptian People Willard Fiske Free Download Borrow And Streaming Internet Archive



Www Osti Gov Servlets Purl



French Pronunciation French Alphabet French Language Learning French Language



Identity Based Encryption Security Notions And New Ibe



Rgbhackr



A E K I O Iyr D B E Oea U Iu D C E Z T D E Download Scientific Diagram



Mainly Part B How To Transform This Diagram Into Chegg Com



Thais License Docsity



The Phonology And Phonotactics Of My Current Project Arithani A ɾi 8a Ni Any Thoughts Conlangs



T O M S R I V E R N E W J E R S E Y O C T O B E R 1 I M S Otlmr English And French Offloer In I Pdf Free Download



Di A A Thy O Thyyy Thyy Y Ss A A A A



Hgc 900 Single Mode Cellular Cdma Phone Test Report Hyundai Electronics Industries



2



Y Xk U Qaiqnejmaaz Vov Xj Thn Ths A C J Yuc Eaes Flickr



Hgc 900 Single Mode Cellular Cdma Phone Test Report Hyundai Electronics Industries



Type French Accents On A Mac Lawless French Tips



Tawallammat Tamajaq Language



Ecio E ºg X Ipu 5iizeaego Ao Ku M Aeqfth Aen U Ae8 P O Flickr



Adjustaḅle K Its Is A Fun Collection Of Games ḅō N D ḁ Geromance Rḕ S T Raint S E X Kit For C ṏ U Ples Prime ḅeginners P L A Y ḅ I N Ding S H A Ckles Ankle Hand Arm Legs Cross Set Buy Online In Bahamas At Bahamas Desertcart Com



My Publications Karbala Ka Khooni Manzar Page 36 37 Created With Publitas Com



Tuttle Compact Vietnamese Dictionary Tuttle Publishing



2 A Given The Risk Neutral Process Ds S Rdt Chegg Com



List Of Unicode Characters Wikipedia



2



Page 58 Kutch Gurjari October November 14



Gnambeni Fm Soma Photos Facebook



Ppt Kids Party Photography Powerpoint Presentation Free Download Id



Pdf Free Download



Thesee Tragedie Seconde Edition Lll X2 6 E 4 I S X Gt S T A X Tl3 R O R 77 Vivant i U F Cr Da N Ae Ctv Rlclue Lt Rue Tiaivifu V Ve 7r L I C C I Lt X Vvueyz Vi R



Principales Aspectos De La Pedagogia Compleja



Imparfait2b French Verbs Verb



Ma Thoi Den 1



Qok S Wk Vzum Aeatu S Eum A D Vk Pdf Bezmaksas Lejupielade



French Alphabet Pronunciation Ppt Download



Aue C C Banking Products Gugc Waw Kw



Mojibake Wikipedia



Zimane Kurdi Reziman Calameo Downloader



Portuguese Orthography Wikipedia



1



1


コメント
コメントを投稿