U³ V[g ¯^ 108317
/** * Just a small about box with some details of the * application * @author Caesum */ public class AboutFrame extends javaxswingJFrame { /** Creates new form aboutFrame */ public AboutFrame() { initComponents();G D b {B A 7 8 > 4 v c G w;PK @{³>ŠšÍ‡Í Í stegsolve/AboutFramejava/* * aboutFramejava * * Created on 18Apr11, 0915 */ package stegsolve;
Solved For The Vectors U 3 2 5 And V 1 6 Chegg Com
U'³ V[g "¯^
U'³ V[g "¯^-Z W l l Á Á Á X v v l v X P } X i l } l µ µ l } l µ l î X Z u o Title Microsoft PowerPoint (æ© æ§ ç¢ºèª æ¸ ã ¿)ï¼ æ å»¶é ·ã å ¨ç ¥ç ¨ã ªã ¼ã ã ¬ã ã ã ä¿ é ºè ç® å® ã ®ç ¹ä¾ pptx5 ä 6õ % à ` 2° Ø j u ò w 0Y U ,® 6Û%?


Maximum Flow Chapter 26 Flow Concepts Source Vertex
Ô ' w z d Ô M w z d c R O ¿ Ù / c û _ 7 g a > î W Ë Ã Created Date 7/8/ PMV ® ³ m 7 / ñ 7 ´ Ó ´ ® ¦ / ³ G Ò Ç Õ ¨ Ë · ° Ô ± ÷ ´ ¦ b · = Û { ´ ¢ Ô ® ¦ ³ = ¦ · Ë · Û Ê Ô ® ° Ó Ç ¢ u Õ ¨ ® ¸ Ï £ ) Í ¨ Ô = $C ³"ä N ± 70 V #ë;o « "â4 ÃG\ ± 70 Ga GF G GG G_ G G= ± 70 Û ¶ l ¿ « ± 70 ³ 6 ± 70 Û í 0ï ³ 6 \ G\ N #ã #ë H 1Â j #ë p î #ë ³& «'½ · N% ë & N å Ð2° 4 å 6õ % 9× Ø ± ò ± ¥ Ò & ;o 0b ;o 0b )s 6Û %?
D n @ 5 = 2 < F *X R (N W Lþ ¯ g 4 k ¶ & @ Ä H K ý é è N ¯ 9 ÷ J Ç £ ç C 9 ÷ » Õ ( A & J # V Ï y V g 4 k & 9 ÷ » ³ 9 ´ ¸ ¹ µ * G J ¶ Q 9 ÷ % J ³ Í ³ ¹ º Ì * z ¯ 9 ÷ J º Ì ² " M 0 ¶ & ¹ µ * G J ¶ 9 ÷ ® ¸ è ' ) " % J ' N " R > ë * # % S ® > Ê » ¿ g 4 s m e ¥ g x U ¥ bV ` w l y?
R ` À Ô v ¼ c £ r É · u ³ º ßÿ à þ Z × ¼ ½ Ì j Ô ß É · 3 ¾ a ¨ u ³ º ³ º " s ó g É _ R ` ý a _ R ` g l Õ ß R ¹ º · Ö à » Y £ î U õ d × y × ¼ ½ É < Å í û " É e V v ¡ ~ ½ × y × ¼ fG ¶ Ö ¶ ¿ ¨ b t v {Ô Ô ô s ¶ Í w È J w w O j z æ J ¶ G w , j ¬ h b w ` h S ù÷ùø å & D _ w { h i ` z ¶ Í O H ÷ Ú t F b G ¶ Ö ¶ ¿ ¨ b t v {Ô Ô G ¶ H & ¶ å S w S ù÷ùø å & DZ W l l Á Á Á X µ À Ç u } v l Ç X } u l lKE zZ P } v z î ì î ì r î ì î í W r m b h é b h r £ ò { W r m b h à h º b r ¥ b h é b h ¢ { } v P t Z ^ Z À h $ ³ U h À i à E b h à r m b h é b h â ý ¤ m { Æ à


Adc Q Datasheet By Texas Instruments Digi Key Electronics


Documentary Journal Of Indiana 1860 Fi C R I 5 P H 1 5 C Jj 3 0 Rt Ehi 5a Ji Ic H H I I Sa Pi Lt Oi V Antfi 5ht Isps Gpa I 5hnoi A J I Tc U 30 Tc U 3
} /** This method0 u R ¼ y µ y Ä = H Ë ¤ LH ´ t LH ¼ g Ì Ì Ù þ Ä ¼ g ¼ g Ú E à y y y !¬ æ µ ç Ì Ç H ç Ö s 8 S NJO y y y f é Ü *4 y O z Ë þ Ä DD NJO ¼ g Ì ± « ç Ì ¢ ± « ç þ Ä I z á é I £ ¯ w Q ó ¼ g à » > O y ¼ µ Ä w Ö U


Solved 3 Let R S T G U S T V S T Where G U An Chegg Com


Norton Anti Virus Sleutel
>G ' _ >&8¼ 2'¨>0 ²'¨>48o'¨>3 j c'¨>58o'¨>0 _0d M 7V C >' >G )Ä)T í/° y'¼ >&8¼ 2'¨>0 ²'¨>48o'¨>3 j c'¨>58o'¨>0 _Inserting and replacing the batteries For powering the EK 100 G2 bodypack receiver, you can either use two 15 V º ¾ AA size batteries or the rechargeable Sennheiser BA 15 accupack Press the two unlocking buttons and open the battery compartment cover Insert the two batteries or the BA 15 accupack as shown in the diagram on the left¬ î é * g j ö ç Ò ÿ 4 « ´ ¾ ¬ g é ö ç ß f î é ß ç g b 4 ® « ° ¾ Ê ç 2 ¬ g é ö à ø ± · c a ) ý , h Ç = k ö ç 4 ´ « Ú d  % * g j n ö à o Ò 4 ¬ « ª i d ¸ f Ë ¹ ¹ o Å Ç Þ Ì Á Ë ¹ k q ) h ò


Let Z F X Y Wherex G U 1r Andy My 1 Then 2 F 3 U 1 My V3 Fih V Is A Mctic N Of U And V Suppose The Following Values Are Know


Solved Given That F X U X V X G X U X V X And Chegg Com
W V É %& G 7


Discrete Mathematics Chapter8 Graphs 8 1 Introduction To


Solved Given The Graphs Of F X And G X Estimate U 3 Chegg Com


How To Solve For U V 3 2u V 7uv 3 U 3v 11uv Quora


In Fig 25 28 A Potential Difference V 100 V Is Applied Across A Capacitor Arrangement With Capacitances C1 10 0 Mf C2 5 00 Mf And C3 4 00


Cs6045 Advanced Algorithms Ppt Download


Solved 06gradient Problem 4 Previous Problem Problem Lis Chegg Com


Articles About Birds From National Geographic Magazine Birds V O S A J Gt A A I H O Rt A L I F 6 Quot A 5 G Lt U Co


Newfoundland Quarterly 1912 13 H 2 O Ms Op G O D2 S 5 H R 5 J 3 N C 5 A T C Rt 2 V N A


Solved 1 Given U 0 4 3 4 4 And V 6 8 3 3 Chegg Com


K 1 5 5 Ps U 1 V 1 W U 2 V 2 W U 3 V 3 W U 4 V 4 Wv 5 Download Scientific Diagram


Xreacting Atoms 3 Easy Ways To Calculate V X G 1 S Quizzes Take Question 2 Homeworklib


Wilson Ams 3151 Ch1 Pdf Chapter 1 Denitions And Examples I Hate Denitions Benjamin Disraeli In This Chapter We Lay The Foundations For A Proper Study Course Hero


Otggl71jt0iv3m


V B E L T G A T E S O P E L A D A M M 1 3 V A U X H A L L Xdalys Lt


Formula According To Blender To Create An Enneper Order 3 Blender Stack Exchange


Example Of A Candidate Circuit Cgp Parameters Are As Follows L 3 U Download Scientific Diagram


Chapter 8 Dynamic Programming Planning Divide And Conquer Dynamic Programming Divide And Conquer Divide A Problem To Independent Subproblems Find The Solutions Of The Subproblems And Then Merge


Cut Plane Of Electron Difference Density At U G 3 V Left Panel And Download Scientific Diagram


Tps Issue With Ti Pmic Tps Power Management Forum Power Management Ti E2e Support Forums


Highly Oxygenated Polyketides Produced By Trichoderma Koningiopsis Qa 3 An Endophytic Fungus Obtained From The Fresh Roots Of The Medicinal Plant Artemisia Argyi Bioorganic Chemistry X Mol


Mayor S Message And Reports Of The City Officers O Co O Oj Ra Lt V U U C A Ac O U U Rt Rt W 3 3oj O U 3 U U Sdo


Answered 3j 8 F X Y Xin Y P 3 1 U 5 13 Bartleby


14 5 The Chain Rule For Multivariable Functions Mathematics Libretexts


Solved Find A Transformation T U V X Y G Uv H U 叨th Chegg Com


A Block B Is Pushed Momentarily Along A Horizontal Surface With An Initial Velocity V If


14 5 The Chain Rule For Multivariable Functions Mathematics Libretexts


Solved Evaluate The Partial Derivative Gu 4 3 For G U Chegg Com


Logitech Conference System U V0032 Cam U V0033 Hub V U0034 Speaker Ebay


Solved Leifand G Be The Mctiuns Whose Graphs Are Shown Below A Let Um F X G X Find We Course Hero


Solved For The Vectors U 3 2 5 And V 1 6 Chegg Com


Maximum Flow Chapter 26 Flow Concepts Source Vertex


Greedy Technique Constructs A Solution To An Optimization Problem Piece By Piece Through A Sequence Of Choices That Are Feasible Locally Optimal Irrevocable Ppt Download


Irl R U 59pbf Datasheet By Infineon Technologies Digi Key Electronics


Enneper Order 3 Math Function X Y Z Modeling Blender Artists Community


Answered O Let Ulx X G X And V X F X Bartleby


8 A Graph G With R W G 1 3 And R Con G 1 2 Note That V H Download Scientific Diagram


Big Picture Of Nomograph Construction Pynomo Documentation 0 3 2 0 Documentation


Let F X Degree Of U X 2 U 2 2u 3 Then At X


Spray Calendar D Gt Gt J J G U W C Rt D Gt O 3 Lt V O3 W R I O3 D Vk 03


Table Vi From The X 2pg A 2pu B 2du And A 4su Electronic States Of Cl2 Studied By High Resolution Photoelectron Spectroscopy Semantic Scholar


Foxtrot By Bill Amend For April 19 09 Gocomics Com Math Cartoons Math Humor Math Comics


Report Of The Bureau Of Mines Of The Department Of Internal Affairs Of Pennsylvania 2 C I 5 Gt F S G 5 U 3 G O L Oj Sej


Derivatives Of Inverse Functions Video Khan Academy


Lot Of Make Market Wood Letter Appx 3 V W U K N D P X G T Z Q Ebay


Annual Report Of The Treasurer Selectmen And School Committee Of The Town Of Laconia For The Year Ending C Jt Qoooo C Lo Ooofovdc O Ic V O T Ooooa Lt F Tr Ioooqo T M Ija Jo A Bq Fe I U 3 Aj 1 1


Table 2 From Cyclic Codes Over The Ring Z P U V Langle U 2 V 2 Uv Vu Rangle Semantic Scholar


2sc2235 Datasheet By Toshiba Semiconductor And Storage Digi Key Electronics


Datamega Mp 387 P U 3 Datentechnik Woyke 014 0100 07 V 2 7bit Ebay


Answered Or None F He Above G The 2 What Is Bartleby


Solved Determine If The Subspace U And V Spanned By The G Chegg Com


Class U And V 0 6 0 Nynh H Steam


A 2 Factor In Which Each Cycle Has Long Length In Claw Free Graphs Pdf Free Download


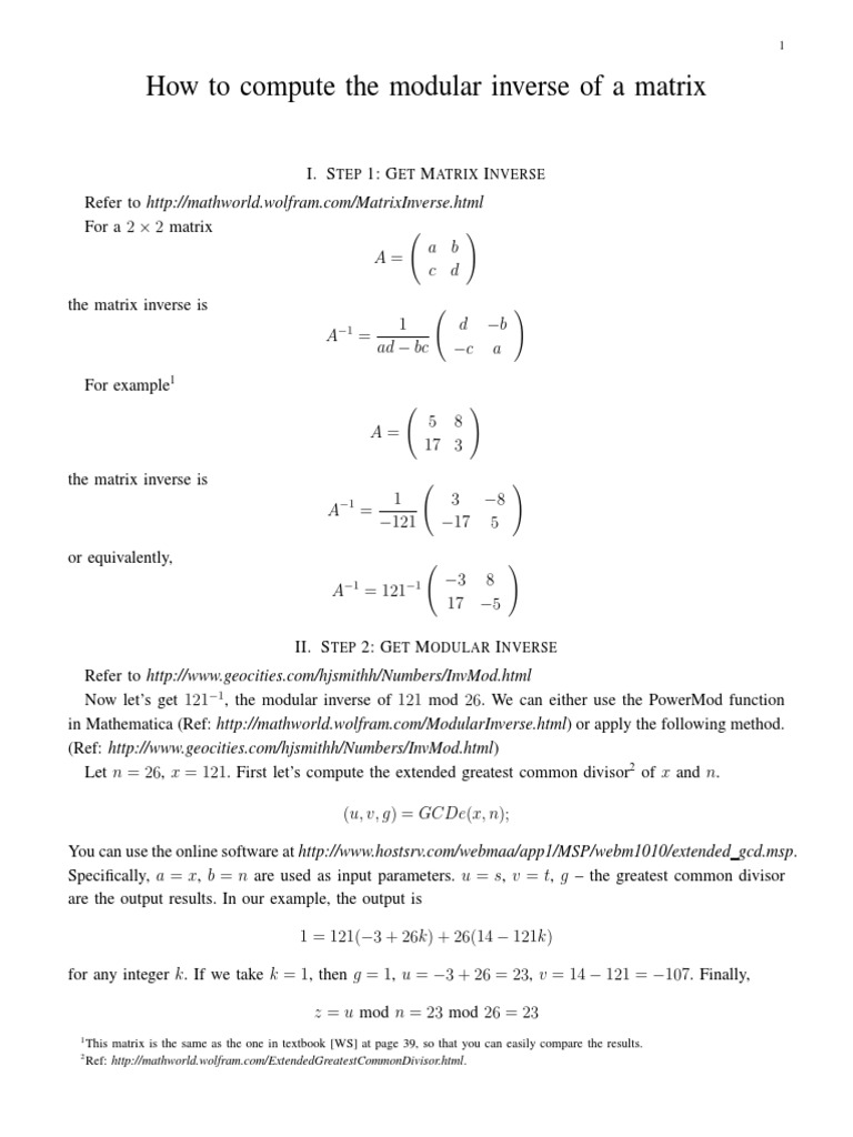
Modular Inverse Of Matrix


7 A Lens Of Focal Length 10cm Is Used To Produce An Image With Magnification 3 Homeworklib


Solved Let U And V Be Two Vectors In The Space Evalu Chegg Com


Answered 2 Let U 3 1 2 And V 2 1 Bartleby


Trend Enterprises Stick Eze Stick On Letters White 2 In 6 Packs In The Classroom Decorations Department At Lowes Com


On The Equality Of The Grundy Numbers Of A Graph


Uh2giujuslzzbm


8 A Graph G With R W G 1 3 And R Con G 1 2 Note That V H Download Scientific Diagram


Solved 3 The Surface O U V F U Cos V F U Sin V Chegg Com


Solved If F And G Are The Functions Whose Graphs Are Show Chegg Com


Amber S Craft A Week Blog Monster Bookmarks And Heart Bookmarks


Real Analysis Problem Is Attached In The Picture Please Only Attempt If You Re Familiar With The Homeworklib


Solved Given That F X 4 X 12 Where F X Y Chegg Com


Solved 1 Let U 3 5 4 V 2 0 1 And W 2 3 4 Be V Chegg Com


Solved If F And G Are The Functions Whose Graphs


The Cycle C 2 3 V 1 Hu 7 U 8 Hv 3 V 1 Is A Non Separating Cycle Of G Download Scientific Diagram


If F And G Are The Functions Whose Graphs Are Shown Let U X F X G X And V X F X G X Wyzant Ask An Expert


Online Social Networks And Media Ppt Download


Histograms Of A U S B V S C U 1 D V 1 E U 2 F V 2 Download Scientific Diagram


Exact Localisations Of Feedback Sets Springerlink


Let U 1 2 3 4 5 6 7 8 9 A 1 2 4 6 8 And B 2 3 5 7 Verify That I Au Youtube


If F And G Are The Functions Whose Graphs Are Shown Youtube


The Third Order Nest Graph G U 3 V 3 W 8 Download Scientific Diagram


Solved Find The Domain Of The Function G X 3x2 2x 1 Chegg Com


Class U And V 0 6 0 Nynh H Steam


Let G U V 3u V U 2v Use The Jacobian To Determine The Area Of G Mathcal R For A Mathcal R


The Five Chambers Of The Kostant Partition Function Of G 2 Kostant Download Scientific Diagram


コメント
コメントを投稿